公司青年教师徐笑娟博士在国际权威期刊发表复合材料涡流检测的最新研究成果
来源:7790cnm必发集团 时间:2022-10-21 点击数:
近日,公司青年教师徐笑娟博士在国际权威期刊《Composite Structures》上发表复合材料涡流检测的最新研究成果。《Composite Structures》(中科院大类一区Top期刊,影响因子6.603)是复合材料研究领域最重要的期刊之一,旨在报道复合材料结构设计、制造与应用研究的最新成果。公司为论文第一单位,徐笑娟博士为论文第一作者和通讯作者,东京工业大学颜逾越研究员、南京航空航天大学裘进浩教授为共同作者。研究工作得到了安徽省自然科学基金、安徽省高校自然科学研究项目的资助。



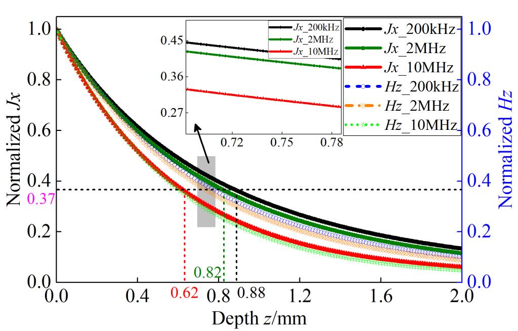
(电磁场分量在碳材料(左)、CFRP单向板(中)和CFRP正交板(右)厚度方向的衰减)



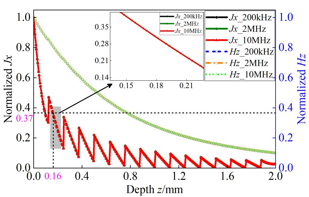
(电流密度|J|在碳材料(左)、CFRP单向板(中)和CFRP正交板(右)x-y面内的分布情况)



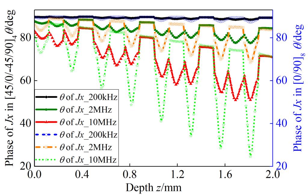
(不同的铺层顺序(左)、激励源形状与电各向异性(中)和激励频率(右)下电磁场量的分布情况)
“十四五”国家战略性新兴产业发展规划指出,高性能纤维及其复合材料是提升制造业的核心竞争力。作为碳化纤维和树脂基体的完美结合体,碳纤维增强树脂基复合材料(Carbon fiber reinforced polymer, CFRP)兼具轻质高强、耐腐蚀和易设计等一系列优点,已被广泛用于航空航天、能源装备和汽车工业等关键技术领域。为保障CFRP构件在各领域使用的安全性和可靠性,针对这种新型材料的无损检测(Non-destructive Testing, NDT)需求日益迫切。
为满足CFRP损伤涡流检测的应用需求,本研究探索了电磁场在多层CFRP板结构中的传播、衰减与扩散特性,解决了多层导电介质交界面处的场量突变问题。研究结果表明,材料的电各向异性是电磁场快速衰减的关键因素,由波印廷定理知强电各向异性造成更多的能量损耗,使得电磁场的衰减特性与频率无关。铺层变化是影响电磁场衰减与扩散的又一重要因素,电磁场的衰减与扩散和相邻铺层角度差呈反比。从入射场角度看,激励源形状是影响电磁场传播特性的另一重要因素,电磁场的衰减与扩散和激励源形状呈反比。该研究结果为定量检测与评估CFRP结构深处缺陷奠定了理论基础,同时为涡流检测探头的设计/优化提供了理论依据。
论文连接:https://doi.org/10.1016/j.compstruct.2022.116378
(撰稿:罗进 审核:沈浩 王兵 张苒 杜飞)